List of pictures for SN 1987a
Please, consider this is as WIP (Work in Progress).
This is a set of raw pictures !!! Please, don't use'm !
Authors have a full responsibility for their
results but not you might think for
We used presupernova model ut87a by Viktor Utrobin
(
"Hydrodynamic study of supernova 1987 A: near the peak luminosity"
Astronomy and Astrophysics, March 1993, vol.270, (no.1-2):249-58.
) and sn87am by Stan Woosley (private communication)
and observations by Catchpole et.al 1987
All models (look at full list of runs)
were calculated using SUN Ultra1/143 at Uppsala (U),
DEC Alpha 500/333 (A) and various HP 7XX (H) at Stockholm Observatory
We used F (flux) for erg s^-1 sm^-2 \\A^-1 and L for luminosity
- 100np3d.gif3d picture of outgoing spectra (time axis in log. from left to right)
- langeram-18ab.gif and langeram-18ab.ps langer100am (scat=false) and 87a18ab (scat=false)
- 100auv.gif and 100auv.ps - UV F for selected wavelengths. Sorry
- 100f.gif and 100f.ps - Outgoing L (shock breakout), arrow indicates time direction
- 87a100np-abp.gif and 87a100np-abp.ps - ut87a100np (solid) and ut87a100abp (dashed, opacity as absorption), scat=true, A
- 87a100np-npa.gif and 87a100np-npa.ps - ut87a100np (solid) and ut87a100npa (dashed, scat=false) A
- 87a100np-pe.gif and 87a100np-pe.ps - ut87a100np (energy =1.5) and ut87a100pe(energy=1.7), scat=true, AU
- 87a100npa-abp.gif and 87a100npa-abp.ps - ut87a100abp (opac. as abs, scat=true) and ut87a100npa (scat=false), A
- 87a100np-20p.gif and 87a100np-20p.ps - 100 freq. bin and 20
- 87a20p-pe.gif and 87a20p-pe.ps - the same as 87a100n-pe.gif but for 20 freq. bins and (energy=1.6)
- 87as100np-npa.gif and 87as100np-npa.ps - ut87a100np (scat=true) and ut87a100npa (scat=false), A
- before.gif and before.ps Before shock breakout
- brk87a100.gif and brk87a100.ps - shock breakout for ut87a100, fluxes
- brk87a100ab.gif and brk87a100ab.ps - shock breakout for ut87a100ab (opac as abs), fluxes
- brk87a100f.gif and brk87a100f.ps Outgoing spectra near the shock breakout
- brk100np.gif and brk100np.ps Outgoing spectra (Lum) near the shock breakout for ut87a100np
- e87anp-npa-abp.gif and e87anp-npa-abp.ps - early light curves for ut87a100np,ut87a100npa and ut87a100abp,
data from Shelton and Lapasset, 1993
- crvbrk100np.gif and crvbrk100np.ps - early bol. light curve and Temp. for
ut87a100np, ut87a100npa and ut87a100abp (Bolometric light curve for ut87a100npa reached maximum
about 100 seconds earlier (about R_{presupernova}/Clight) because we didn't take
into account scattering in this run.
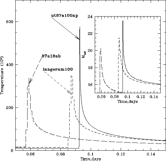
- crvbrk3.gif and crvbrk3.ps - early bol. light curve and Temp. for
ut87a100np, langeram100 and 87a18ab
- nfrused.gif and nfrused.ps - number of freq. used for several models(interesting)
- ut87a100.gif and ut87a100.ps - ut87a100 , A
- ut87a100a.gif and ut87a100a.ps
- ut87a100b.gif and ut87a100b.ps
- uv87a100.gif and uv87a100.psuv fluxes for nfreq=100
- uv87a20.gif and uv87a20.ps - uv Fluxes for nfreq=20
- uvfluxes.gif and uvfluxes.ps - uv curves (L - solid, F -dashed) for ut87a100f, L=F*R14^2
- 100np-uv-crv.gif and 100np-uv-crv.ps - uv light curves (wavelength, fluxes) , ut87a100np, A
- 100np-uv-flx.gif and 100np-uv-flx.ps - outgoing spectra for several days, ut87a100np, A
- swp100-rp-npa-abp.gif and swp100-rp-npa-abp.ps - Averaged UV light curve in SWP (1150--1975). (rp==1:5) (np==5)
- 100np-curves.gif and 100np-curves.ps - light curves for ut87a100np (scat=true) and ut87a100npa (scat=false)
- 100abp-curves.gif and 100abp-curves.ps - light curves for ut87a100np (scat=true) and ut87a100abp (opacity as absorption,scat=true)
Oleg Bartunov and Sergey Blinnikov
@ Stockholm Observatory, april-may, 1996